Councils & Commissions
Family Pastoral Council
The family pastoral council is the primary consultative voice of the members of the Family of Parishes. The members of the council foster discernment and dialogue among the clergy, pastoral staff, and members of the Family, sharing the responsibility of leadership as they advise the pastor on important matters of the spiritual, social, and temporal needs of the Family of Parishes.
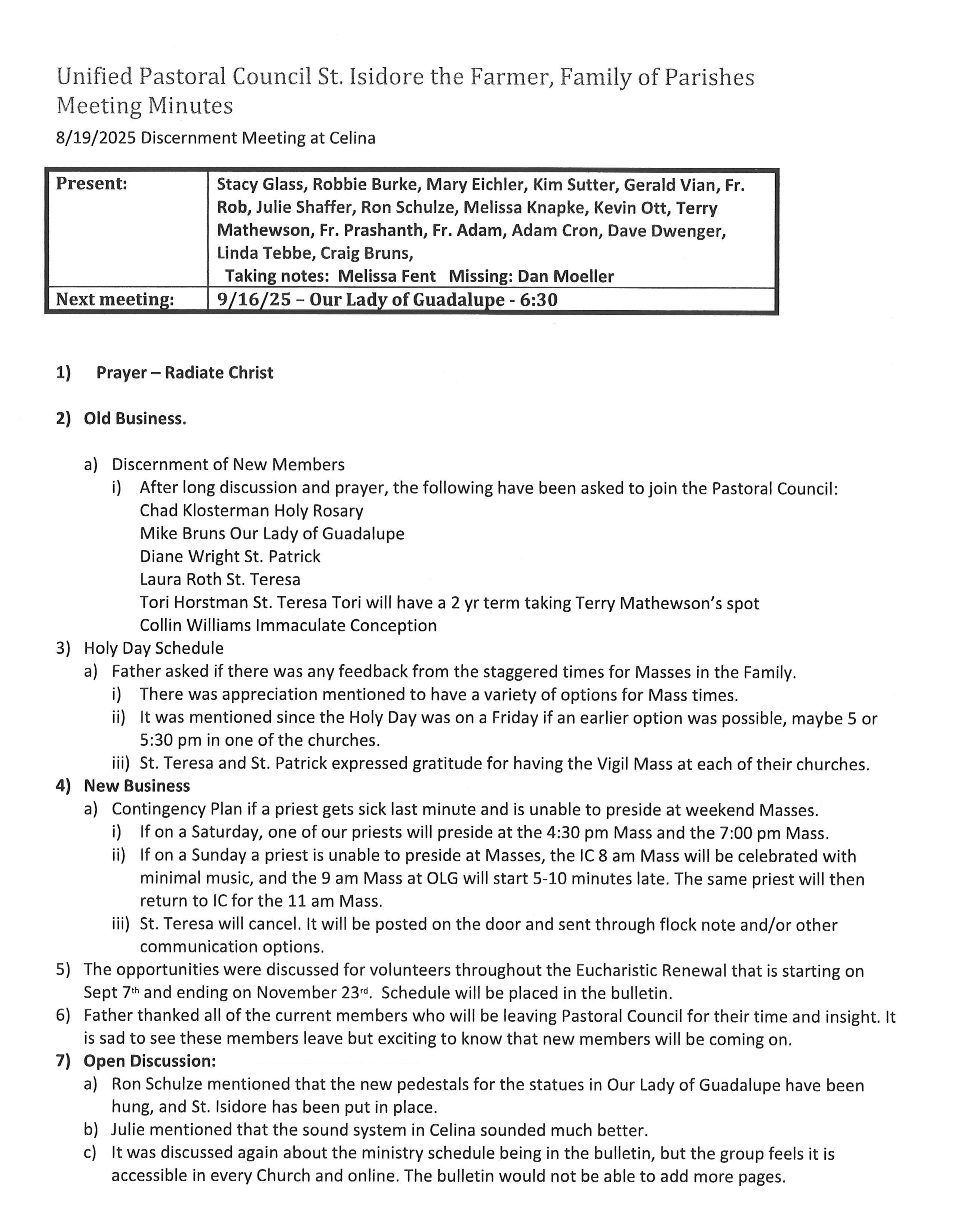
15 members make up the St. Isidore Family Pastoral Council with each parish having 3 members representing. The pastoral council meets on the 3rd Tuesday of each month. Minutes for meetings can be found
here.
Members:
Craig Bruns (IC)
Robbie Burke (HR)
Ron Schulze (OLG)
Stacy Glass (HR)
Melissa Knapke (SP)
Julie Shaffer (IC)
Adam Cron (OLG)
Terry Mathewson (ST)
Kim Sutter (OLG)
Dave Dwenger (SP)
Dan Moeller(ST)
Linda Tebbe (HR)
Mary Eichler (ST)
Kevin Ott (SP)
Gerald Vian (IC)
Contact Parish Offices
Holy Rosary
511 E. Spring St. St Marys, OH
(419) 394 - 5050
Immaculate Conception
229 W. Anthony St. Celina, OH
(419) 586 - 6648
Our Lady of Guadalupe
6701 St. Rt. 219 Celina, OH
(419) 268 - 2312
St. Patrick
6959 Glynnwood Rd St. Marys, OH
(419) 394 - 5050
St. Teresa
4227 OH 707 Rockford, OH
(419) 363 - 2633


